
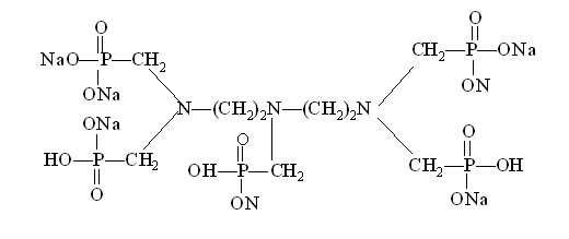
CAS No.: 22042-96-2 (x-Na) 68155-78-2 (7-Na)
Molecular Formula: C9H21O15N3P5Na7
Molecular Weight: 727
Properties:
DTPMP•Na7 is a scale inhibitor, for barium sulphate in particular, and a chelating agent.DTPMP•Na7 can be used as stabilizer for peroxide bleaching, detergent auxiliaries, in industrial & municipal cleaning water, terrestrial heat water, oilfield water, etc.
| Items | Index | ||
| Appearance | Umber transparent liquid | ||
| Active content (DTPMPA)% > | 31.5-33.5 | 24.0-26.0 | |
| Active content (DTPMPANa7)% | 40.0-42.5 | 30.5-33.0 | |
| Total phosphoric acid(PO43-)% | 25.9-27.9 | 19.7-21.7 | |
| Chloride ( as Cl -) % | 5.0 max | 5.0 max | |
| Fe, mg/L | 20 max | 20 max | |
| PH(1% water solution) | 7.0-9.0 | 7.0-9.0 | |
| Density (20 ℃ ) g/cm3 | 1.34-1.44 | 1.24-1.34 | |
Package and Storage:
200L plastic drum, IBC(1000L), or as customers’ requirement. Storage for ten months in shady room and dry place.
Safety Protection:
Avoid contact with eyes or skin. In case of contact with body, rinse with plenty of water.